Lascia una dedica
Dediche
Carmelina Natalino 21/10/2025 08:01

Auguroni💙🎉💙🎉

Eva 21/10/2025 07:09

Auguri +18!!!💙💙

Elena Natale (maestra) 20/10/2025 16:46

Auguri Ale...sei proprio bello!!! ❤️

Angela Giunta 20/10/2025 16:45

Auguri Ale, sei un ragazzo bellissimo a dir poco e super intelligente...ti conosco dai tempi della Materna, eri tremendo 🤣❤️🎉🎁

Alan (Riccione) 20/10/2025 09:04

Auguri Aleeeee...ci becchiamo a Riccione💙+18!!!🎁🎉

Amici Montis 20/10/2025 09:03

Auguri Boss!Sei un grande...

Elia (sci) 20/10/2025 09:03

Auguri diciottenne🤣, ci vediamo sulle piste da sci al Corno!

Tiziana (cugina Livio) 20/10/2025 09:02

Auguri🎉

Immagine allegata
Rossana Iorio (maestra inglese elementari) 19/10/2025 16:05

Auguri ❤️❤️🎉

Immagine allegata
Amici 18/10/2025 20:58

Auguri 🎈

Immagine allegata
Gian Domenico Mariniello 18/10/2025 18:16

Auguri, marooooooo già 18 anni!

Silvia Prosapio 18/10/2025 18:12

Auguri 🎉❤️

Stefania Di Pippo 18/10/2025 18:11

Auguri 🎁

Mark 18/10/2025 18:06

Tanti auguri di buon compleanno 🎁🎉

Felicina 18/10/2025 11:08

Auguri ❤️

Immagine allegata
Mariateresa 18/10/2025 10:06

Auguri Alessandro e a voi genitori❤️

Arianna 18/10/2025 08:07

Pensieri 💖

Immagine allegata
Amici 18/10/2025 08:07

Auguri 🎉

Immagine allegata
Anonimo 17/10/2025 23:58

Auguri

Immagine allegata
Anonimo 17/10/2025 23:58

Auguri

Immagine allegata
Anonimo 17/10/2025 23:57

Auguri

Immagine allegata
Anonimo 17/10/2025 23:57

Auguri

Anonimo 17/10/2025 23:56

Auguri

Immagine allegata
Anonimo 17/10/2025 23:55

Auguri

Immagine allegata
Anonimo 17/10/2025 23:54

Auguri

Immagine allegata
Anonimo 17/10/2025 23:54

Auguri

Immagine allegata
Anonimo 17/10/2025 23:53

Auguri

Immagine allegata
Anonimo 17/10/2025 23:51

Auguri

Immagine allegata
Mamma Marta 17/10/2025 23:44

Auguri 🎉

Immagine allegata
Marianna (Pezzani) 17/10/2025 23:42

Auguri ❣️

Immagine allegata
Mafalda 17/10/2025 17:14

Auguri🎉

Immagine allegata
Leonardo 17/10/2025 15:55

Sei uno spettacolo puro!🎉

Immagine allegata
Amici 17/10/2025 15:53

Auguri

Immagine allegata
Pompilio Fonzone 17/10/2025 15:20

Tanti Auguri!

Amici 17/10/2025 15:18

Auguri

Immagine allegata
Amici 17/10/2025 15:16

Auguri...

Immagine allegata
Amici 17/10/2025 15:15

Auguri...

Immagine allegata
Rosy Marra 17/10/2025 15:06

🎉

Immagine allegata
Francesca Bizzarri 17/10/2025 15:04

Pensiero...

Immagine allegata
Carmelina D'Alessio... 17/10/2025 13:59

Come volano gli anni, me lo ricordo piccolino ed ora ha 18 anni ed è un ragazzo meraviglioso 💞

Carmelina D'Alessio 17/10/2025 13:48

Auguri❣️

Francy Pianoro 17/10/2025 13:46

Un pensiero ...💙

Immagine allegata
Rosa 17/10/2025 13:43

Meraviglioso, tutto bellissimo❣️

Immagine allegata
Patrizia (Vittoria) 17/10/2025 12:34

Auguroni per questo traguardo, che belle emozioni😍

Robby Ciuffa 17/10/2025 12:00

Auguri ❤️❤️❤️

Carmela Lo Conte 17/10/2025 11:33

Auguri ❣️

Arcangelo 17/10/2025 11:32

Auguri❤️

Amelia(Marco) 17/10/2025 11:14

Auguri❣️

Immagine allegata
Amelia(Marco) 17/10/2025 11:14

Auguri❣️

Immagine allegata
MariArchetta 17/10/2025 10:56

Auguri!!! ❤️

Maria rosa Lo Bosco 17/10/2025 10:55

Auguri 🎉❣️

Alfiero Beatrice 17/10/2025 10:53

Tantissimi auguri, benvenuto nel mondo dei grandi!

Claudia Ligorio 17/10/2025 10:53

Auguri!

Jenny 17/10/2025 10:51

Tantissimi auguri, sei bellissimo❤️

Stefania Como 17/10/2025 10:51

Tantissimi auguri ma come vola il tempo❣️❣️❣️

Tania Casarini 17/10/2025 08:35

Auguri❣️

Immagine allegata
Romina Caso 17/10/2025 08:31

Auguri😍

Emiliana 17/10/2025 08:10

Auguri🙂

Immagine allegata
Maddalena Vigogni 17/10/2025 08:08

Auguri ❣️

Immagine allegata
Marina 17/10/2025 08:06

Commento post festa 🙂

Immagine allegata
Selena 17/10/2025 07:51

Il giorno dopo ....❤️

Immagine allegata
Dada 17/10/2025 07:47

Commento post discorso della Commare❤️

Immagine allegata
Zia Elia 17/10/2025 07:41

Auguri Ale ❤️

Immagine allegata
Mariangela Bocchicchio 17/10/2025 07:37

Tantissimi auguri per il tuo diciottesimo!!!❤️❤️❤️🎁🥳

Marcella Fioravanti 17/10/2025 07:36

Auguri per il tuo diciottesimo e anche a voi❤️❤️❤️❤️

Jole Romano 17/10/2025 04:05

Auguri!

eilish 17/10/2025 01:21

AUGURI AL NAPOLETANO PIÙ FRESCO DEL MAJO, mi raccomando poche cagate ora che ne hai 18 eh❤️❤️❤️❤️ ps: sarà sei una gran topa

Immagine allegata
La balotta 17/10/2025 00:59

After party

Immagine allegata
marco sto ingrippato 16/10/2025 22:42

ringrazio la società la famiglia gli amici il locale e Alessandro FORZA NAPOLI 🩵🤍 GASSSSSSS🔥🔥

pit 16/10/2025 22:40

MEROLINO SEI IL PIÙ FIGO🐂🐂🐂

Grazia.Fortunato 16/10/2025 22:09

Auguri❤️

Francesca Centineo 16/10/2025 22:08

Auguri Ale 🥳❤️🥳

Iwona 16/10/2025 22:07

Piccolo Ale, ti Ricordo nelle estati al mare a Lido delle Nazioni e quando vi ristrutturavamo le vostre case, se bellissimo, auguri 💙🥳🥳🥳

Stefania Massa 16/10/2025 22:05

Augurissimi❤️❤️❤️

Matteja Riccione 16/10/2025 22:04

Tantissimi auguri per questo traguardo speciale!!!❤️❤️❤️

Melissa (Ventre) 16/10/2025 22:02

Maggiorenne!!!💙

Lucrezia 16/10/2025 18:31

Auguri piccolo, grande Uomo❤️

Dade 16/10/2025 18:15

Auguri Merolino ❣️

Immagine allegata
Mamma 16/10/2025 18:13

❤️Auguri Amore di Mamma Sua❤️

Immagine allegata
Pietro Pungetti 16/10/2025 18:09

Auguri Merolino❣️

Immagine allegata
Angelica Caro 16/10/2025 17:59

Auguri!!!

Eliana(mamma Alessia Ventre) 16/10/2025 16:52

Auguri splendido ragazzo... età importante +18, rimani super bravo ed educato e bello come la tua meravigliosa Mamma💕

Ana 16/10/2025 16:50

Auguri ❣️

Immagine allegata
Eliana Fornaro (mamma Alessia Ventre) 16/10/2025 16:23

auguri Ale ❤️

Melissa e Simone 16/10/2025 15:34

Ale…benvenuto nel club dei diciottenni! Ora che sei maggiorenne, mi raccomando: guida con prudenza, ma non dimenticare di divertirti! Tanti auguri per i tuoi 18 anni! Che il futuro sia luminoso e pieno di opportunità. Un abbraccio forte. Meli e Simo

Maestra Monica 16/10/2025 15:01

Ale Auguri 💝💝

Rossana 16/10/2025 15:00

auguri 💝

Liliana Lo Conte 16/10/2025 14:01

tanti Auguri, bellissimo ragazzo ❣️

Frida 16/10/2025 14:00

Auguri💙

Immagine allegata
Katia Sicuranza 16/10/2025 13:58

Tantissimi auguri ❤️

Natalia 16/10/2025 13:35

Auguri, auguri, auguri Ale

Maria Falanga 16/10/2025 13:07

Auguri Ale, ti conosciuto in prima elementare ed eri bellissimo ma ora sei un ragazzo stupendo! 😍

Elisabetta Rodari 16/10/2025 13:06

Auguri Ale...mi ricordo di te da quando ti ho conosciuto alle medie...come vola il tempo💯, auguri per i tuoi, 18 anni, Auguri🥳🎁

Valeria(sport 2000) 16/10/2025 13:03

TANTISSIMI AUGURI PER I TUOI 18 ANNI!🎉🎉🎉

Pina Borea(maestra materna) 16/10/2025 12:27

Auguri 💞

Immagine allegata
Monica (Marika) 16/10/2025 11:23

Auguri 🥳🥳🥳

Ercole Vernacchio 16/10/2025 10:51

Auguri Ale❣️

Immagine allegata
Zia Antonietta di Germania 16/10/2025 10:47

Auguri bellissimo Ragazzo❣️

Simona(insegnante Ventre) 16/10/2025 10:46

Tantissimi auguri Ale❤️🎉

Maria Panico 16/10/2025 10:46

Tanti Auguri!

Rossana e Domenico Genovese 16/10/2025 10:43

Auguri!!! 🥳

Timo 16/10/2025 09:41

Auguri!!!🎉🎁❤️

Luca De Santis 16/10/2025 09:40

Tanti Auguri Ale! ❤️🎊💪💪💪

Pier Paolo 16/10/2025 09:12

Auguri a cent'anni con salute e pieni di felicità.

Lina Rogazzo 16/10/2025 08:53

Tanti auguri bellissimo Ragazzo!!!❤️🎁❤️

Elisa & Ruben 16/10/2025 08:44

Caro Ale … ci siamo conosciuti con te e i tuoi splendidi genitori in un periodo di grande sventura, ma da subito abbiamo potuto apprezzare il buono che é dentro di te. Con questo traguardo importante dei 18 anni vogliamo augurarti di prendere la tua vita in mano e farne meraviglie! Un abbraccio grande Elisa e Ruben

Gabriele Iacoviello 16/10/2025 08:44

"I 18 anni sono solo l'inizio di un viaggio meraviglioso, vivili al massimo ma con la testa sulle spalle. Spero che il futuro ti porti tante gioie e soddisfazioni. Buon compleanno!".🍾🥂🎁

Luigina e Carmine Caso 16/10/2025 08:41

Auguri Ale, sei sempre stato intelligente, educato e bellissimo e lo continui ad essere, anzi sempre più.

Mariagrazia Mangialetto 16/10/2025 08:36

Auguri Ale🎉

Immagine allegata
Sara Vernacchio 16/10/2025 08:34

Amore infinito❤️

Immagine allegata
Serena Corrente (amica Mamma) 16/10/2025 08:26

Tanti Auguri Ale...+18, età importante...sei sempre stato e sei bellissimo e in gamba! ❤️

Giorgii 16/10/2025 08:15

Alessaaaa tanti auguriii, passa un bel compleanno e mi raccomando a montis scendi con la capo messa a posto (e soprattutto con la patente) 😽🫨

Giorgiii 16/10/2025 08:13

Alessaaaaa tanti auguri, passa un buon compleanno e a montecalvo scendi con la capo messa a posto(con la patente possibilmente) 😽🫨

Francesca (educatrice amica Mamma) 16/10/2025 08:11

Auguri Tesoro, rimani sempre così 😘

Rosy Ago e Nicole 16/10/2025 08:09

Tantissimi auguri Ale 🎉🎉🎉

Francy (Giuseppe) 16/10/2025 08:07

Auguri splendido ragazzo🎁

Immagine allegata
Marica Lo Conte 16/10/2025 08:00

Auguri Ale❤️❤️

Immagine allegata
Luca Pelosio 16/10/2025 07:53

Auguri Ale💙

Immagine allegata
Luigi Lo Conte 16/10/2025 07:50

Auguri Ale 😄

Immagine allegata
Franco (Patrizia) 16/10/2025 07:47

Tantissimi auguri ad Alessandro🎁💯🎁

Roberta Caso 16/10/2025 07:38

Auguri🎊

Immagine allegata
Antonella(Giada) 16/10/2025 07:36

Auguri💙

Immagine allegata
Debby 16/10/2025 07:27

Auguri Ale...

Immagine allegata
Rosa Alessio 16/10/2025 07:20

Auguri meraviglioso Ale ❤️

Commare Pina 16/10/2025 07:20

Auguri Ale🎉

Immagine allegata
Stefania 16/10/2025 07:17

Ciao ale ti auguro tutta la felicità che meriti...tantissimi auguri per i tuoi 18 anni da Stefania Giuseppe ale e Giorgia

Maria De Stefano 16/10/2025 07:08

Auguri Alessandro ❤️

Terry 16/10/2025 07:06

Auguri Ale ❤️

Immagine allegata
Sonia 16/10/2025 07:04

Tantissimi Auguri Alessandro❣️Ora sei Maggiorenne...🎉☺️❤️

Anonimo 16/10/2025 07:02

Simonetta, Agostino, Giovanni Riccio

Immagine allegata
Dada 16/10/2025 06:54

Auguri Alessandro!

Immagine allegata
Barbara 16/10/2025 06:45

Auguri Ale❣️

Immagine allegata
Francesca Punzetti 16/10/2025 06:40

Buongiorno, tantissimi Auguri di Buon Compleanno Ale ❤️😘🎊

Arianna 16/10/2025 06:38

Auguri Alessandro🎉💙❤️

Immagine allegata
Cristina 16/10/2025 06:35

Auguri Ale💙

Immagine allegata
Mirna 16/10/2025 06:34

Auguri Alessandro!!! 🎉

Immagine allegata
Mamma 16/10/2025 06:29

Buongiorno Amore mio, sei arrivato a 18 anni e questo numero fa un po' effetto perché una sei un Ragazzo sicuro, determinato che sa ciò che vuole e sa che per arrivare agli obiettivi ci vuole determinazione e tenacia, caratteristiche tue...noi siamo stati molto attenti alla tua educazione, tu sei sempre stato solare e di compagnia, hai sempre amato andare a scuola ed avere buoni amici...sei motivo di grande orgoglio per ciò che sei, per gli obiettivi che hai raggiunto e siamo certi che tra poco ne raggiungerai altri quali la Maturità, l'entrata all' Università e il lavoro, sei motivo di grande orgoglio per me, sei sempre stato così sicuro di te stesso portando a casa gli obiettivi che ti eri proposto e ora ti auguro di continuare così a portare a casa i tuoi Sogni... Ci sarò sempre con il nostro rapporto specialissimo, i nostri abbracci, le confidenze di ogni genere e tanto altro...che dire l' "Ovino" quello rimarrà nella nostra storia...Ti Amo mia vita!!! ❤️❤️❤️

Immagine allegata
Livio (Papà) 16/10/2025 05:06

Buon 18° compleanno, amore mio! Ti ho visto crescere giorno dopo giorno, e oggi guardarti diventare adulto mi riempie di orgoglio e tenerezza. Continua a credere in te stesso, a sorridere alla vita e a inseguire i tuoi sogni… ma ricordati: per me sarai sempre quel bambino che cercava le mie ciglia con le dita prima di addormentarsi, anche se ora fai finta di essere troppo grande per gli abbracci! ❤️😄. E no.... non puoi scappare dalle foto imbarazzanti 🤣🤣🤣🤣 non le tolgo 🥰❤️❤️❤️😘 (Music: Imagine Dragons - On Top of the World)

Immagine allegata
alessiaa 16/10/2025 00:16

auguri alessa, ti vogliamo bene da montecalvo anche se mi hai rubato 5 sigarette mentre ero ubriaca, stronzo❤️ e anche se mi hai fatto sgridare al black out perché baravamo a biliardino

Immagine allegata
Francesca Punzetti ( l' amica di Mamma ) 16/10/2025 00:08

Tantissimi auguri di buon compleanno!!!!! Purtroppo non ti ho vissuto molto dal vivo, principalmente dai racconti della mamma ma, le poche volte che ti ho visto sei sempre stato carino ed educato. Mamma parla sempre di te con grande orgoglio. Hai due genitori fantastici, rendili sempre fieri di te come hai fatto fino ad ora. Un abbraccio e divertiti alla grande 🍾

Rosario è Romina 15/10/2025 21:42

Tantissimi auguri Ale per il tuo compleanno da tutti noi 🎂🥂😘ti auguriamo che tutti i tuoi desideri si avverino ❤️

Giada(alunna di mamma) 15/10/2025 20:04

Tantissimi auguri di buon compleanno Ale! Spero che questo giorno sarà indimenticabile per te e per tutta la tua famiglia❤️ Con affetto ❤️

Cristofer e Iwona 15/10/2025 19:50

Tanti auguri Ale, ti ricordiamo quando eri piccolino e invece ora sei un giovane ragazzo meraviglioso❤️+18!

Roberta Piazzi 15/10/2025 19:47

Auguri Alessandro, grande giovane uomo, ti auguro tanta felicità, amore ed una vita piena di soddisfazioni! 😘

Virginia ⭐️ 15/10/2025 17:43

tanti augurii ❤️❤️ divertitiiiii (anche se purtroppo siamo nati lo stesso giorno)

Giada 15/10/2025 17:31

We mongolo muoviti a prende la patente che poi ci devi scarrozzare, divertiti e bevi ma non anda in coma etilico che poi non possiamo venire fino andò stai tu eh, goditi questi anni fino in fondo che poi facciamo i conti quando scendi

Immagine allegata
Roberta Tommaso 15/10/2025 16:51

Tanti cari auguri di buon diciottesimo Compleanno ❤️🥰 Caro Ale complimenti per la tua splendida famiglia ,siamo molto felici di avervi conosciuto e abbiamo capito che di persone speciali ce ne sono ancora 😍un grande abbraccio Roberta e Tommaso

Informaticamente (Livio) 15/10/2025 14:33

#include <stdio.h> int main(void) { int vals[8]; char out[16]; int i; vals[0] = (2 << 5) + (1 << 0); vals[1] = vals[0] + (7 * 3) - 1; vals[2] = vals[0] + (3 * 2); vals[3] = vals[1]; vals[4] = vals[0] + (5 * 3) + 2; vals[5] = vals[0] + (2 << 2); vals[6] = (3 << 4) + 1; vals[7] = (3 << 4) + (2 << 2); for (i = 0; i < 8; ++i) out[i] = (char)vals[i]; out[i] = '\0'; /* Stampa del messaggio finale */ printf("%s\n", out); return 0; } /* (2 << 5) 👉 Vuol dire: sposta i bit del numero 2 a sinistra di 5 posizioni. Il numero 2 in binario è: 0000 0010 Spostandolo di 5 posizioni a sinistra (<< 5): 0100 0000 Questo in decimale è 64. Quindi: (2 << 5) ≡ 2 * 2^5 ≡ 2 * 32 ≡ 64 */

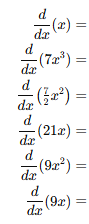
Matematicamente (Livio) 15/10/2025 14:08

Risolvi le derivate nella foto...ricorda che una volta trovati i risultati, la X=1..ad esempio 35X = 35; Ad ogni risultato corrisponde una lettera dell'alfabeto italiano....e ti ho voluto bene...sono facilissimi poi alla fine risolvi anche: ln(x-17)>=0

Immagine allegata
Marco Costante 15/10/2025 11:46

Benvenuto nel mondo degli adulti, vivi a pieno la vita ma sempre con la testa sulle spalle❣️❣️❣️Il mio augurio è che la vita ti regali momenti magici nella vita quotidiana e nell'amore. Un augurio va anche a voi genitori.

Elena e Manuel 15/10/2025 08:41

Tanti tanti cari auguri di buon compleanno in questo giorno speciale che in parte ti cambia. Che sia una giornata piena di gioia da ricordare nel tempo.

Nonna Maria 14/10/2025 22:54

❤️🎈Al mio Principino Ale, che proprio oggi compi 18 anni e io ho sempre straveduto per te...ti auguro una vita piena di felicità e gioia, continua ad essere attento e dolce...Auguri, Amore di Nonna Maria❤️🎈

Immagine allegata
Nonno Giovanni 14/10/2025 22:36

Al mio numero UNO, 🔝come ho sempre desiderato, che Dio ti benedica e protegga in ogni tempo. Tanti Auguri al mio Gioiellino da sempre e per sempre 🍾🥂💫👏👏👏♾️♾️🤗🤗❣️

Immagine allegata
Silvio 14/10/2025 22:28

Tantissimi auguroni....e noi teniamo duro 💪👍

matthew 14/10/2025 21:33

per quanto tu rompa le scatole rimani sempre una gran persona e, sopratutto, un gran amico. buon compleanno ale 🫶

Saraa 14/10/2025 21:31

Auguri amore mioo, ti amo tantissimo sei la persona più speciale che io conosca, da quando ci sei tu sono diventata la persona più felice al mondo. Hai cambiato la mia vita in meglio, e ogni giorno penso di essere fortunata ad avere al mio fianco una persona come te. 🩶💋💋🩶💋Ti amo tanto bimboo, augurii🩶💋🩶💋🩶💋🩶🩶🩶🩶🩶🩶🩶💋

Marina&Angelo 14/10/2025 21:15

Caro Alessandro, un vero gioiello risplendi sempre con la tua luce, autenticità e garbo. Auguroni da parte nostra, un caloroso abbraccio

Mattia Gramatica 14/10/2025 20:57

Ciao Alessandro, mi ricordo quando eri piccolo che giocavi al mare con mia sorella, ora sei adulto. Buon compleanno🎊

Simonetta e Luca 14/10/2025 20:52

Tanti auguri Ale. Daje 18! Un abbraccio anche da Alex e Flavia.

Milena 14/10/2025 20:33

Tantissimi auguri !!! Felice 18 esimo !

Arianna 14/10/2025 20:27

Tantissssimi auguri di cuore da noi 3... sei hn ragazzo fantastico con 2 genitori spettacolari...dovevi proprio essere come 6. Ti auguro che la vita possa darti cio che deisideri. Un grande abbraccio

Selena(boss) 14/10/2025 19:54

Ti ho conosciuto un anno fa.....che dirti ....sei bello,determinato ,sai gia' cosa vuoi dalla vita......hai reso e rendi mia figlia felice ogni giorno!!!!!!io (noi tutti) ti auguriamo tantissimi auguri di buon compleanno!!insegui sempre i tuoi sogni,resta sempre cosi,non cambiare mai!!!ti vogliamo bene .....tanti auguri Aleeeeee ❤️❤️❤️❤️❤️❤️😘😘😘😘😘

Antonella 14/10/2025 19:53

Ormai sei arrivato anche tu ai fatidici 18 anni!!! Ti auguro che questo traguardo non sia l'arrivo ma solo la partenza di una grande vita... Auguroni da ariano irpino

Lauraa 14/10/2025 19:49

auguri aleee💌🎉 ( menomale che non si può mettere il video ) ( ragazzo poco serio )

Immagine allegata
Filippo 14/10/2025 19:35

auguri al miglior cugino che ho sempre avuto 🥳

Rosa 14/10/2025 19:30

Tantissimi auguri Ale🫶🏼

pit 14/10/2025 18:59

forza napoli🩵

Marco il napoletano 14/10/2025 18:58

sei così bello che ti vorrei sbattere al muro... auguri fratello 🔫🔞🥂❤️

Sofia 14/10/2025 18:43

🥳Auguriii🥳

Chiara Paoletti 14/10/2025 14:46

Giovedì 16.10.2025 Sembra ieri quando ti ho tenuto per la prima volta tra le braccia ed invece sono passati già 18 anni, ora sei maggiorenne e ti auguro di raggiungere tutti i tuoi sogni ed essere sempre determinato e sereno, come sei tu. Ricordati che ti sarò sempre accanto. ❤️Ti Adoro, la tua Mamma❤️

Immagine allegata
Livio Merola 14/10/2025 12:30

Al mio cucciolino... anche se ora sei un uomo per me sarai sempre un cucciolo. TvTTTTTTB Papà.

Immagine allegata